What is the UGR?
What is the UGR (Unified Glare Rating)?
UGR stands for ‘Unified Glare Rating’ and is a method for assessing the glare effect of indoor lighting systems. It evaluates ‘psychological’, i.e. disturbing glare, but where there is no reduction in visual performance. The calculation method only provides meaningful results for mainly direct distribution luminaires. It only takes into account direct glare from luminaires, but not reflected glare caused by reflections on surfaces.
Important to know:
The UGR value is not a quality characteristic of a luminaire, but describes the position of the luminaire in relation to the direction of view of the observer.
Overview of the UGR method
How can the UGR value be calculated?
What does UGR 19 mean?
What is a UGR table?
Would you like to find out more?

1. How can the UGR value be calculated?
The UGR value is calculated according to a method presented by the CIE in 1995 (source: Technical Report 117). As a system-related assessment, the UGR method takes into account all luminaires in the lighting installation that contribute to the glare. The calculation rule totals the glare effect of all light sources based on their average luminance, spread and position in relation to the viewing direction. It also considers the dependence of the eye's sensitivity to glare on the background luminance. Logarithmic scaling (lg) and a pre-factor of 8 give a value range from 10 (lowest probability of glare) to 30 (very high probability of glare). A computer simulation makes it possible to calculate the UGR value at any location in the room for any direction of view.
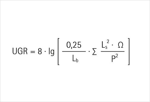
Formula for calculating the UGR value:
Apply the formula opposite to calculate the UGR value. The following terms apply here:
8: Constant factor 8 for a value range between 10 and 30.
∑: ‘Total’ sign causing the addition of the glare effect of each visible luminaire.
lg: Common logarithm taking into account the logarithmic perception of brightness.
Lb: Background luminance (determines the state of adaptation of the eye).
Ls: Average luminance of each individual luminaire.
Ω: Solid angle of the illuminating parts of the luminaire from the observer's position as a measure for the size of the glare light source.
ρ: Guth index as a measure of the position of the luminaire in relation to the direction of view of the observer.
2. What does UGR 19 mean?
Lighting installations should not exceed the UGR value 19, especially for office activities. Higher requirements (UGR <16) apply for demanding visual tasks such as technical drawing, whereas lower requirements (UGR <22) apply for areas with more simple visual tasks such as reception desks.
In DIN EN 12464-1 (Lighting of Indoor Workplaces), the UGR value is used as the RUGL parameter for evaluating the ‘glare limitation’ quality characteristic of lighting systems. The glare effect is evaluated using limit values with a step size of 3 (<10 – <13 – <16 – <19 – <22 – <25 – <28 - >28), which corresponds to the smallest noticeable difference in glare.
3. What is a UGR table?
The UGR value is not a technical feature of the luminaire, but is used to evaluate a specific observer and luminaire position. The UGR table method can be used as an aid in lighting design for selecting and comparing luminaires. Using standard lighting calculation programs, the luminous intensity distribution of a luminaire can be used to create a table with UGR values for standardised arrangements of the luminaire type as a grid in a rectangular room with standardised proportions. The values are specified for different reflectivity levels of the room surfaces according to the orientation of the luminaires in relation to the viewing direction. The calculation is performed for worst case positions of the observer on a wall so that the largest possible number of luminaires can be seen. Example: If the UGR value for two specified geometries is not more than 19.4, the luminaire is designated with a UGR value of 19, thus being suitable for offices.
Although the table method can only give meaningful information for grid arrangements consisting of just one type of luminaire, it is described in DIN EN 12464-1 as the standard method for assessing glare. Only if these conditions are not met is a numerical calculation intended, based on a light simulation.

